翰林刷题,免费考试真题网站!
首页
关于我们
首页
›
分类
› 详情
作者:高老师
时间:2024-08-03
浏览 0
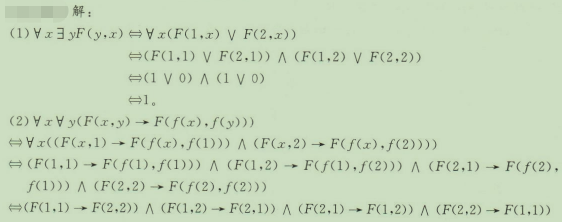
【正确答案】:
📱 扫码体验刷题小程序
扫一扫使用我们的微信小程序
热门题目
毛泽东在《论持久战》中阐述的中日之间相互矛盾的四个特点。
在资本主义发展过程中垄断的工业资本和银行资本融合构成新的资本形式,列宁把它称之为()
人类在城市规划设计中的三种实验
园所人力资源管理的核心任务是( )
孩子刚出生时,最发达的是( )
弱视分_____、_____,先天弱视和后天弱视。
按照我国企业会计准则,下列可以作为存货计量方法的有
某企业“其他应收款”账户的期初贷方余额为100000元,本期增加其他应收款10000元,本期减少其他应收款5000元,该账户期末
网络时间的矩阵算法中,矩阵中aij是第i行第j列的元素,它表示______的______,如无活动i-j,aij为______,
Complete each of the following sentences with a (compound) word
Despite the wonderful acting and well-developed plot the() movie
直接材料预算、直接人工预算和变动性制造费用预算都是以__为基础编制的。()
➕
➖
📋
⬆️
已复制到剪贴板