翰林刷题,免费考试真题网站!
首页
关于我们
首页
›
分类
› 详情
作者:高老师
时间:2024-08-03
浏览 0
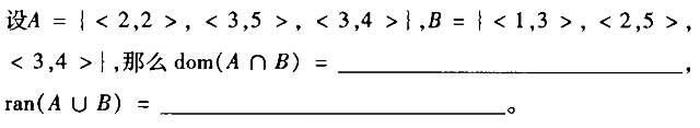
【正确答案】:{3}
{2,3,4,5}
📱 扫码体验刷题小程序
扫一扫使用我们的微信小程序
热门题目
属于金融机构的主动负债的是( )。
下列各项包含矛盾双方相互依存相互转化的辩证法思想的是()。
以“让天下没有难做的生意”为使命的企业是()。
展示设计的设计要素包括物、( )、( )和人。
企业将土地使用权用于对外出租时,应将土地使用权转入______中进行核算。()
具有反对关系的一组判断是
Companies like IBM and Dell are starting to offer 【comparable】 p
关系代数是关系操作语言的一种传统表示形式,它是以____为基础发展起来的。
原文:When the crude oil is obtained from the field, it is taken to
Charlotte's works are famous for the depiction of the life of __
简述局域网区别于其他网络的主要体现。
公债管理的利息率效应
➕
➖
📋
⬆️
已复制到剪贴板