翰林刷题,免费考试真题网站!
首页
关于我们
首页
›
分类
› 详情
作者:高老师
时间:2024-08-03
浏览 0
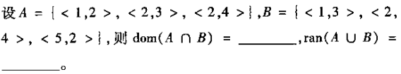
【正确答案】:{2}
{2,3,4}
📱 扫码体验刷题小程序
扫一扫使用我们的微信小程序
热门题目
Adult education① Voluntary learning in organized courses by matu
How hurricanes (飓风) get their namesThe first people who gave nam
个人发展激励的主要方法有
行政诉讼是人民法院根据公民、法人或其他组织的请求,依法审理和解决行政案件的活动。下列选项中属于行政诉讼受案范围的有
在经济较发达、整个社会物质生活水平大幅度提高的基础上实施的一种比较全面的社会保障制度模式是( )
效能管理的核心内容是
口吃中最为多见的类型是( )
审计按不同主体可以划分为
George Bernard Shaw was a(n)( ), who composed Pygmalion.
18世纪60年代至19世纪60年代,国际分工的中心是()
简述简化分批法的计算程序。
影响行业内现有企业之间竞争激烈程度的主要因素有( )
➕
➖
📋
⬆️
已复制到剪贴板