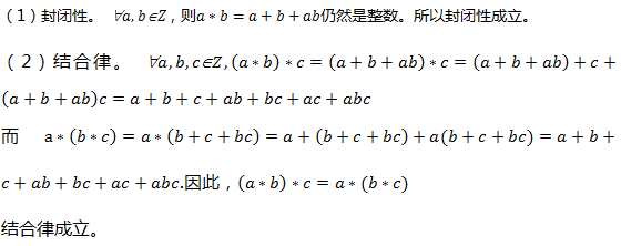
在整数集 Z上定义一个二元运算*,使得对于 Z中的任意元素 a和 b,都有a*b=a+b+ab, 证明: < Z, * >是独异

作者:高老师 浏览 0

在整数集 Z上定义一个二元运算*,使得对于 Z中的任意元素 a和 b,都有a*b=a+b+ab, 证明: < Z, * >是独异点。
【正确答案】:
【题目解析】:验证代数系统是否为独异点,只需要逐一验证以下三个条件:(1) 封闭性(2) 结合律(3) 有幺元

📱 扫码体验刷题小程序

微信小程序二维码

扫一扫使用我们的微信小程序

热门题目

已复制到剪贴板