设解释Ⅰ为:个体域D={a,b},F(x)与G(x)为2个一元谓词,且F(a)=0,F(b)=1,G(a)=1,G(b)=0。在

作者:高老师 浏览 2

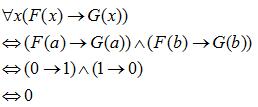
设解释Ⅰ为:个体域D={a,b},F(x)与G(x)为2个一元谓词,且F(a)=0,F(b)=1,G(a)=1,G(b)=0。在Ⅰ下,求命题公式 的真值。


【正确答案】:

解:在解释I下


📱 扫码体验刷题小程序

微信小程序二维码

扫一扫使用我们的微信小程序

热门题目

已复制到剪贴板