下列谓词公式中,不是前束范式的为()。

作者:高老师 浏览 18

下列谓词公式中,不是前束范式的为()。
A、
B、
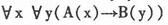
C、
D、
【正确答案】:D
【题目解析】:根据一阶逻辑前束范式的定义,所有约束量词只能在公式最前面,后面公式不能出现量词,排除选项ABC,故选D。

📱 扫码体验刷题小程序

微信小程序二维码

扫一扫使用我们的微信小程序

热门题目

已复制到剪贴板