对图进行拓扑排序,可以得到的拓扑序列是

作者:高老师 浏览 0

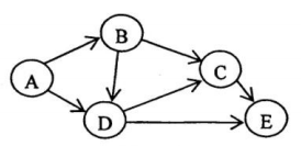
对图进行拓扑排序,可以得到的拓扑序列是


A、BADCEB
B、BACDEA
C、ACBDED>E
D、ABDCE
【正确答案】:D

📱 扫码体验刷题小程序

微信小程序二维码

扫一扫使用我们的微信小程序

热门题目

已复制到剪贴板