设电文字符集是{e₁,e₂,e₃,e4,e5,e6},各字符出现的频次分别为{20,21,1,15,22,3}。现要为该字符集设

作者:高老师 浏览 1

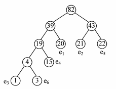
设电文字符集是{e₁,e₂,e₃,e4,e5,e6},各字符出现的频次分别为{20,21,1,15,22,3}。现要为该字符集设计哈夫曼编码。请回答下列问题。
(1)给出构造的哈夫曼树。
(2)给出各字符的哈夫曼编码。
【正确答案】:

(1)哈夫曼树

(2)e1:01 e2:10 e3:0000 e4:001 e5:11 e6:0001


📱 扫码体验刷题小程序

微信小程序二维码

扫一扫使用我们的微信小程序

热门题目

已复制到剪贴板