11.对下图进行广度优先搜索遍历,不能得到的遍历序列是 

作者:高老师 浏览 0

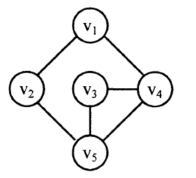
11.对下图进行广度优先搜索遍历,不能得到的遍历序列是 


A、A
B、B
C、C
D、D
【正确答案】:B
【题目解析】:广度优先搜索遍历过程:(1)从某个顶点v出发,访问该顶点的所有邻接点v1,v2..Vn(2)从邻接点v1,v2..vn出发,再访问他们各自的所有邻接点(3)重复上述步骤,直到所有的顶点都被访问过。

📱 扫码体验刷题小程序

微信小程序二维码

扫一扫使用我们的微信小程序

热门题目

已复制到剪贴板