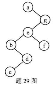
设有二叉排序树如题29图所示。请回答下列问题。 (1)假定二叉排序树初始为空,写出一个数据输入序列,按序插入时能得到题29图所

作者:高老师 浏览 0

设有二叉排序树如题29图所示。请回答下列问题。 (1)假定二叉排序树初始为空,写出一个数据输入序列,按序插入时能得到题29图所示的二叉排序树。 (2)能得到题29图所示的二叉排序树的不同的输入数据序列有几个?


【正确答案】:(1)a g e b f d c;(2)4个
【题目解析】:从上到下遍历,有左右子树,则会有本同的序列。本题:遍历可以得到agebfdc。以e为根的树有左右子树,其左右子树之间序列位置可以调换。遍历能得到题29图所示的二叉排序树的不同的输入数据序列 agebfdc;agebdfc;agebdcf;agefbdc;共四个。

📱 扫码体验刷题小程序

微信小程序二维码

扫一扫使用我们的微信小程序

热门题目

已复制到剪贴板