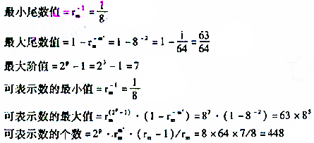
浮点数系统使用的阶基rp=2,阶值位数p=3,尾数基值rm=8,以rm为基的尾数位数m′=2,计算在非负阶、正尾数、规格化情况下

作者:高老师 浏览 0

浮点数系统使用的阶基rp=2,阶值位数p=3,尾数基值rm=8,以rm为基的尾数位数m′=2,计算在非负阶、正尾数、规格化情况下的最小尾数值、最大尾数值、最大阶值、可表示数的最小值和最大值及可表示的数的个数。
【正确答案】:

📱 扫码体验刷题小程序

微信小程序二维码

扫一扫使用我们的微信小程序

热门题目

已复制到剪贴板