如果通道在数据传送期中,选择设备的时间T5为10µs,传送一个字节数据需要的时间TD为0.5µs。 (1)某低速设备每隔500µ

作者:高老师 浏览 0

如果通道在数据传送期中,选择设备的时间T5为10µs,传送一个字节数据需要的时间TD为0.5µs。 (1)某低速设备每隔500µs发出一个字节数据请求,至多可接几台这种设备? (2)对于题28表所示的低速设备,一次通信传送的字节数不少于1024个字节,则哪些设备可挂?哪些设备不可挂? 题28表 A~F设备的速率


【正确答案】:

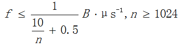
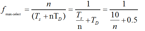
(1)低速设备每隔500µѕ发出一个字节的数据传送请求,挂低速设备的通道应按字节多路通道方式工作,极限流量:fmax.byte=1/(TS+TD)如果所挂的台数为m,设备的速率f i实际就是设备发出的字节传送请求的间隔时间的倒数,相同设备,速率之和为mfi。为了不丢失信息,应满足:1/(TS+TD)≥mfi于是m应满足:m≤1/(TS+TD)•fi=500/(10+0.5)=48所以至多可挂48台低速设备。(2)如题28表所示为低速设备,此通道是选择通道,如果通道上挂有m台设备,则选择通道的极限流量为:限制通道上所挂的设备速率:即:根据题28表知,职能挂B、E、F设备。A、C、D设备因为速率超过了 所以不能挂。


📱 扫码体验刷题小程序

微信小程序二维码

扫一扫使用我们的微信小程序

热门题目

已复制到剪贴板