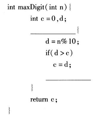
方法_int_maxDigit(int_n)的功能是通过_while循环找出十进制整数n各位中最大的一位数字。例如n=13569

作者:高老师 浏览 2

方法_int_maxDigit(int_n)的功能是通过_while循环找出十进制整数n各位中最大的一位数字。例如n=13569,该方法的返回值是9。


【正确答案】:

📱 扫码体验刷题小程序

微信小程序二维码

扫一扫使用我们的微信小程序

热门题目

已复制到剪贴板