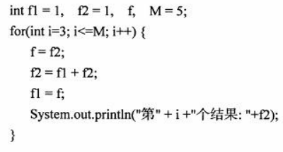
请写出以下程序段的执行结果。

作者:高老师 浏览 0

请写出以下程序段的执行结果。


【正确答案】:第3个结果:2
第4个结果:3
第5个结果:5

📱 扫码体验刷题小程序

微信小程序二维码

扫一扫使用我们的微信小程序

热门题目

已复制到剪贴板