以下Java程序代码中,能正确创建数组的是

作者:高老师 浏览 1

以下Java程序代码中,能正确创建数组的是
A、
B、
C、
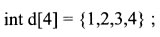
D、
【正确答案】:D
【题目解析】:在JAVA中创建数组有两种方式,(1)静态创建 如String[] array = {"a", "b", "c"};(2)动态创建 如String[] array = new String[] {"a", "b", "c"};或String[] array = new String[3];(先确认元素个数),一般情况下习惯使用动态创建方式 比较灵活 可以先规定元素个数 后对每个元素进行赋值。所以本题选择D.

📱 扫码体验刷题小程序

微信小程序二维码

扫一扫使用我们的微信小程序

热门题目

已复制到剪贴板