翰林刷题,免费考试真题网站!
首页
关于我们
首页
›
分类
› 详情
作者:高老师
时间:2024-08-04
浏览 2
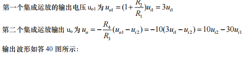
【正确答案】:
📱 扫码体验刷题小程序
扫一扫使用我们的微信小程序
热门题目
中共中央提出“双百”方针所针对的领域是()
实际操作中,最优资本结构的最基本的决策方法是()
现阶段我国最大的实际是()
The professor didn’t have time enough to go into it ___________,
Mavis: How is everything, Ruth? Ruth: ________
英国“湖畔派”诗人指的是
人力资源管理的基本原则不包括
属性的取值范围称为该属性的
worldview 这个单词的意思是()
下列各项中,计入最低租赁付款额的是( )
甲公司的A产品所在行业去年销售总量达到100,今年销售总量统计达115,预计下年销售总量将达到127,而甲公司A产品的相对市场份
货物消费国、生产国直接买卖货物的行为称为
➕
➖
📋
⬆️
已复制到剪贴板