翰林刷题,免费考试真题网站!
首页
关于我们
首页
›
分类
› 详情
作者:高老师
时间:2024-08-04
浏览 0
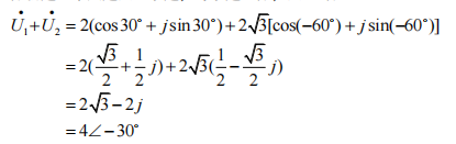
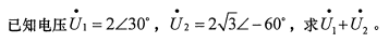
【正确答案】:
📱 扫码体验刷题小程序
扫一扫使用我们的微信小程序
热门题目
下列关于私营经济的说法,正确的是()
摄影广告通常采用
日本为了达到振兴幼儿教育目标的改革是
从教育督导内容上分,督导事项较为单一,如对教育工作中的某一专门问题的督导,称为
能够提供企业某一类经济业务增减变化详细会计信息的账簿是( )。
请指出并解释国际收支失衡调节的三个原则。
从宏观上看,某时段内Office Word和Adobe Photoshop同时向打印机请求打印服务,这属于操作系统支持特征之一的
已知向量组正交,则数k=______.
按照C组术语成交,货物启运后的风险由:
西汉中期叙写个人怀抱,感情真挚浓烈的作品是()
性格的类型有:()
构成权力性影响力的主要因素中,人们在社会生活中对领导者逐渐形成的一种观念性因素,其会让组织成员产生服从感,这一因素就是( )。
➕
➖
📋
⬆️
已复制到剪贴板