翰林刷题,免费考试真题网站!
首页
关于我们
首页
›
分类
› 详情
作者:高老师
时间:2024-08-04
浏览 1
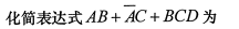
A、
B、A+BC
C、A+C+D
D、B+C
【正确答案】:A
📱 扫码体验刷题小程序
扫一扫使用我们的微信小程序
热门题目
销售谈判过程中有哪些策略?
试述我国宪法规定的基本宗教政策。
简述《红与黑》题目的含义。
主张任何人都得过集体公共生活,首先提出优生优育问题的教育家是()。
某企业坏账损失的核算方法采用备抵法,年初应收账款余额为600000元,“坏账准备”科目的余额为4000元,年度内曾确认坏账300
只承保“重大意外事故”,而不承保“自然灾害及非重大意外事故”的险别条款是()
Our clients requested you to_______your price because they consi
目前,国外已有的著名的软件开发工具有( )
基于计算机的信息系统(CBIS)N用来对信息管理的各个环节提供支持,这些环节不包括()
下列不属于建立合作型人际关系的前提条件是
“初唐四杰”中擅长五言律诗的是()
在广告策划中的首要任务是确定公司的产品在()和心目中的位置。
➕
➖
📋
⬆️
已复制到剪贴板