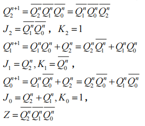
使用JK触发器设计一个同步五进制减法计数器,其状态转换真值表如题42表所示,写出各触发器的驱动方程和输出乙的方程。(不需要进行自

作者:高老师 浏览 1

使用JK触发器设计一个同步五进制减法计数器,其状态转换真值表如题42表所示,写出各触发器的驱动方程和输出乙的方程。(不需要进行自启动检查)


【正确答案】:

📱 扫码体验刷题小程序

微信小程序二维码

扫一扫使用我们的微信小程序

热门题目

已复制到剪贴板