写出题36图所示F的逻辑表达式,并化简成最简与或式。

作者:高老师 浏览 0

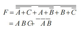
写出题36图所示F的逻辑表达式,并化简成最简与或式。


【正确答案】:

📱 扫码体验刷题小程序

微信小程序二维码

扫一扫使用我们的微信小程序

热门题目

已复制到剪贴板