翰林刷题,免费考试真题网站!
首页
关于我们
首页
›
分类
› 详情
作者:高老师
时间:2024-08-04
浏览 1
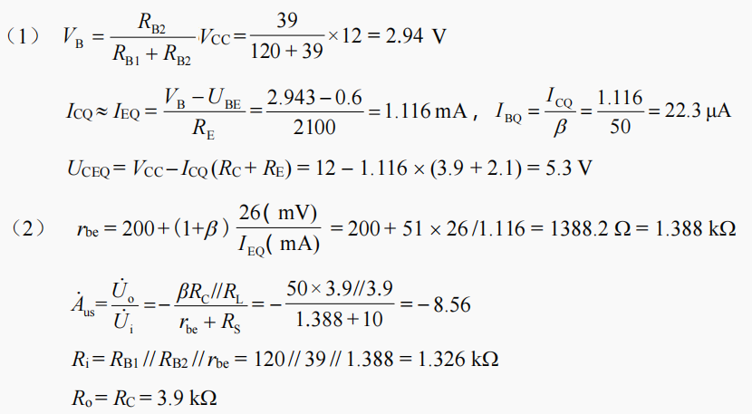
【正确答案】:
📱 扫码体验刷题小程序
扫一扫使用我们的微信小程序
热门题目
新中国成立初期,着重发展的是_____等初级形式的国家资本主义。()
阅读材料,回答问题。 洋务运动时期,奕诉说:“欲悉各国情形,必先谙其语言文字,方不受人欺蒙……中国道无熟悉夕卜.国语言文字之人,
扁鹊三兄弟医术的故事告诫企业在设计内部控制时应强调()
马克思主义中国化两大理论成果共同的“根”是( )
克拉克的边际生产力论内容包括( )
影响就业的因素有
宪法渊源即宪法的表现形式。下列选项中,不属于英国宪法渊源的是
Customer: Could you find these books for me?eller: Sure. Let me
17世纪英国资产阶级革命文学最杰出的代表是()
《羊脂球》的艺术特色。
承租人对融资租赁业务进行会计处理时,不需要设置“未确认融资费用”科目的方法是
网络时间的计算方法包括( )
➕
➖
📋
⬆️
已复制到剪贴板