电路如题39图所示。 (1)应用叠加定理,求电流I的值; (2)计算IV电压源对 I的贡献,用百分比表示; (3)只改变10A电流源的值,使得两个电源对I的贡献度相等,求新的电流源值。 
【正确答案】:

【题目解析】:
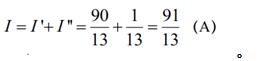
(1) 明确叠加原理的内容。在如图两个电源共同作用的电路中,10A电流源单独作用时,把电压源短路(用线短接,即4欧姆和9欧姆的电阻并联),利用分流定律,可以求出
,1V电压源单独作用时,把电流源断开,两个电阻串联,可以求出
最后将两个电流相加
(2) 计算IV电压源对 I的贡献,即将1V电压源产生的电流除以总电流
(3)