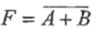
题11图为TTL门电路,其输出F为

作者:高老师 浏览 0

题11图为TTL门电路,其输出F为


A、
B、
C、
D、
【正确答案】:A
【题目解析】:此门为与门

📱 扫码体验刷题小程序

微信小程序二维码

扫一扫使用我们的微信小程序

热门题目

已复制到剪贴板