翰林刷题,免费考试真题网站!
首页
关于我们
首页
›
分类
› 详情
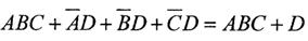
请运用逻辑代数的基本定律证明 。
作者:高老师
时间:2024-08-04
浏览 0
请运用逻辑代数的基本定律证明
。
【正确答案】:
📱 扫码体验刷题小程序
扫一扫使用我们的微信小程序
热门题目
我国对资本主义工商业进行社会主义改造的政策是
最早提出物流概念的是( )
下列因素中会造成同一“行话”和技术用语的理解差异的有()
胜任岗位工作要求具备的技术能力称
设 是由方程 所确定的隐函数,求偏导数
简述美国心理学家维纳总结的叫种归因是什么?
适用于高级行政职位、秘密性职位、临时性职位和通用性较强职位的分类制度是()。
任务型管理
下列诸情形中,何种情况将意味着是吉芬品()
融资租赁的标准中,所订立的购价预计远低于行使选择权时租赁资产的公允价值,这里的远低于是指
进口税
什么是数据挖掘?常用的数据挖掘方法和技术包括什么?
➕
➖
📋
⬆️
已复制到剪贴板