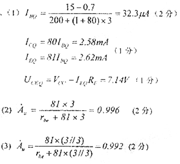
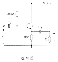
放大电路如题40图所示,图中各电容足够大,对输入信号可视为短路,已知 要求:

作者:高老师 浏览 0

放大电路如题40图所示,图中各电容足够大,对输入信号可视为短路,已知 要求:


【正确答案】:

📱 扫码体验刷题小程序

微信小程序二维码

扫一扫使用我们的微信小程序

热门题目

已复制到剪贴板