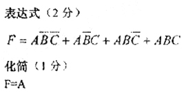
题36图所示为某组合逻辑电路输入A,B,C和输出F的波形,列出该电路真值表,写出逻辑表达式并化简。

作者:高老师 浏览 0

题36图所示为某组合逻辑电路输入A,B,C和输出F的波形,列出该电路真值表,写出逻辑表达式并化简。


【正确答案】:

📱 扫码体验刷题小程序

微信小程序二维码

扫一扫使用我们的微信小程序

热门题目

已复制到剪贴板