单相桥式整流电路如题33图所示,已知输出电压平均值
负载电阻等于
其中T为交流电源的周期。 要求: (1)求变压器副方电压有效值U2; (2)整流二极管所能承受的最大反向电压URM值; (3)流过二极管的平均电流
的值。 
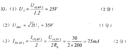
【正确答案】:

单相桥式整流电路如题33图所示,已知输出电压平均值
负载电阻等于
其中T为交流电源的周期。 要求: (1)求变压器副方电压有效值U2; (2)整流二极管所能承受的最大反向电压URM值; (3)流过二极管的平均电流
的值。 

📱 扫码体验刷题小程序
扫一扫使用我们的微信小程序