单管共发射极放大电路如题40图所示,图中各电容足够大,对输入信号可视为短路。 已知:
很大。 要求: (1)确定静态工作点电流ICQ; (2)计算输入电阻Ri和输出电阻R0的值; (3) 证明电压增益
(4) 利用(3)的结论,计算电压增益
的值。 
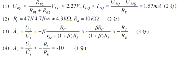
【正确答案】:

单管共发射极放大电路如题40图所示,图中各电容足够大,对输入信号可视为短路。 已知:
很大。 要求: (1)确定静态工作点电流ICQ; (2)计算输入电阻Ri和输出电阻R0的值; (3) 证明电压增益
(4) 利用(3)的结论,计算电压增益
的值。 

📱 扫码体验刷题小程序
扫一扫使用我们的微信小程序