翰林刷题,免费考试真题网站!
首页
关于我们
首页
›
分类
› 详情
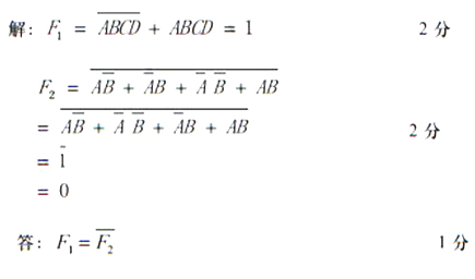
两逻辑函数 求两者的关系。
作者:高老师
时间:2024-08-04
浏览 0
两逻辑函数
求两者的关系。
【正确答案】:
📱 扫码体验刷题小程序
扫一扫使用我们的微信小程序
热门题目
__________是迄今为止最经济、实用的一种自动识别技术。( )
资本输出对于输出国的作用有()
我国引进全面质量管理开始的时间
理智感
一般来说,产品成本汇总表的编制依据是
经营活动现金流量报告的编制方法有哪些?
ここで 写真を 撮って( )いけません。
Which of the following descriptions of Gothic Novels is NOT corr
下列比率中,反映股利政策的核心比率是( )
一般认为,税收转嫁的最典型和最普遍的形式是
一国规定,进口商必须向指定银行存入与合同金额相等的为期360天的存款才能进口。这种限制进口的措施是( )
消费者从广告、售货员介绍、商品展览与陈列、商品包装、商品说明书等获得信息的来源属于( )。
➕
➖
📋
⬆️
已复制到剪贴板