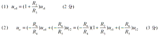
题32图所示电路中的运放均为理想运放。 要求: ⑴ ⑵

作者:高老师 浏览 0

题32图所示电路中的运放均为理想运放。 要求: ⑴


【正确答案】:

📱 扫码体验刷题小程序

微信小程序二维码

扫一扫使用我们的微信小程序

热门题目

已复制到剪贴板