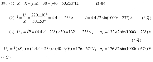
电路如题 39 图所示,已知 要求计算: ⑴等效复阻抗Z; ⑵电流i; (3)电压μR和μL。

作者:高老师 浏览 1

电路如题 39 图所示,已知 要求计算: ⑴等效复阻抗Z; ⑵电流i; (3)电压μR和μL。


【正确答案】:

📱 扫码体验刷题小程序

微信小程序二维码

扫一扫使用我们的微信小程序

热门题目

已复制到剪贴板