校核题如图梁的强度。已知材料的抗弯强度设计值f=10MP题31图

作者:高老师 浏览 1

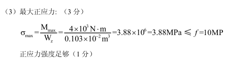
校核题如图梁的强度。已知材料的抗弯强度设计值f=10MP

题31图


【正确答案】:


📱 扫码体验刷题小程序

微信小程序二维码

扫一扫使用我们的微信小程序

热门题目

已复制到剪贴板