某工程网络图如下,则下列说法正确的是()。某工程网络图如下,则下列说法正确的是()。

作者:高老师 浏览 2

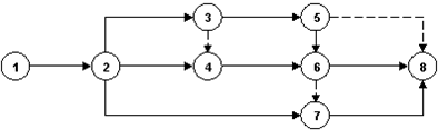
某工程网络图如下,则下列说法正确的是()。
某工程网络图如下,则下列说法正确的是()。


A、有多于虚工作
B、节点编号有误
C、有多个终点节点
D、工作逻辑关系有误
【正确答案】:A

📱 扫码体验刷题小程序

微信小程序二维码

扫一扫使用我们的微信小程序

热门题目

已复制到剪贴板