某老师进行一次模拟考试,一位学生的语文成绩为142分,已知语文成绩的平均成绩为115.14分,标准差为17.91分,问当数学考试

作者:高老师 浏览 1

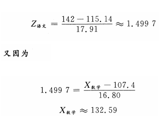
某老师进行一次模拟考试,一位学生的语文成绩为142分,已知语文成绩的平均成绩为115.14分,标准差为17.91分,问当数学考试成绩为多少时才与语文成绩有相同的位置?设数学成绩平均数为107.4分,标准差为16.80分。
【正确答案】:

解:根据已知条件可得:可见:当数学成绩约为132.59分时才与语文成绩有相同的位置。


📱 扫码体验刷题小程序

微信小程序二维码

扫一扫使用我们的微信小程序

热门题目

已复制到剪贴板