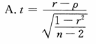
总体相关显著性检验的检验统计量t分数的计算公式为

作者:高老师 浏览 0

总体相关显著性检验的检验统计量t分数的计算公式为
A、
B、
C、
D、
【正确答案】:A

📱 扫码体验刷题小程序

微信小程序二维码

扫一扫使用我们的微信小程序

热门题目

已复制到剪贴板