近年来,越来越多的中学生参考美国“高考”即SAT考试,以争取到美国上大学。假设去年国内考生的SAT成绩服从正态分布。在北京市抽取120名考生的成绩,得到平均分为578.50分,北京市学生的总标准差为11.20分;在上海抽取130名考生的成绩,得到平均分为590.80分,上海市学生的总标准差为12.30分。试分析:北京和上海两市考生去年SAT考试平均成绩是否有显著差异?(取α=0.05;结果保留两位小数)
【正确答案】:

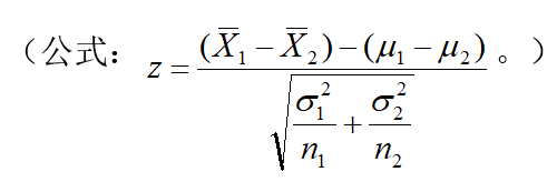
近年来,越来越多的中学生参考美国“高考”即SAT考试,以争取到美国上大学。假设去年国内考生的SAT成绩服从正态分布。在北京市抽取120名考生的成绩,得到平均分为578.50分,北京市学生的总标准差为11.20分;在上海抽取130名考生的成绩,得到平均分为590.80分,上海市学生的总标准差为12.30分。试分析:北京和上海两市考生去年SAT考试平均成绩是否有显著差异?(取α=0.05;结果保留两位小数)

📱 扫码体验刷题小程序
扫一扫使用我们的微信小程序