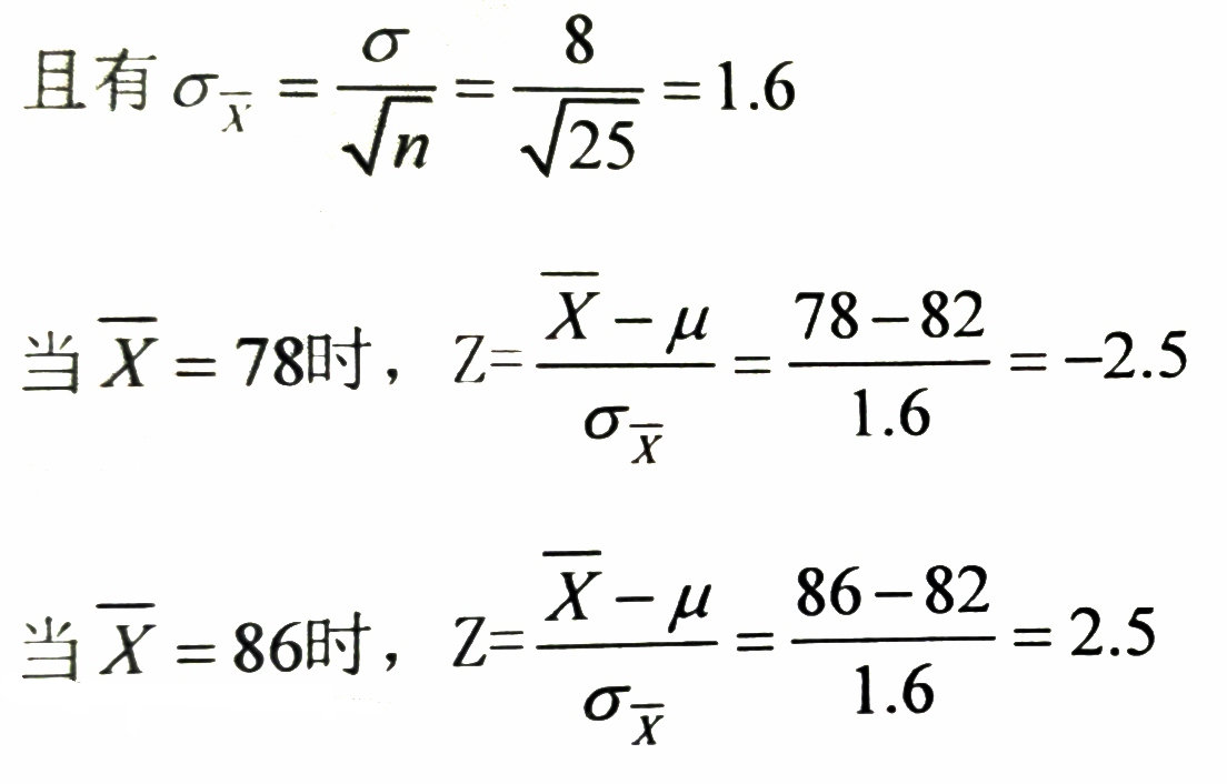
某次数学期中考试,测验分数服从正态分布,总体平均值μ=82,总体标准差=8。如果从中随机抽取一个n=25的样本,该样本的平均分在

作者:高老师 浏览 0

某次数学期中考试,测验分数服从正态分布,总体平均值μ=82,总体标准差=8。如果从中随机抽取一个n=25的样本,该样本的平均分在区间[78,86]的概率为多少?
(正态分布表Z值为2.5时,相应的P值为0.49379)
【正确答案】:

测验分数服从正态分布,总体标准差已知,则样本平均数的抽样分布呈正态分布


所以,P(-2.5≤Z≤2.5)=0.49379×2=0.98758。


📱 扫码体验刷题小程序

微信小程序二维码

扫一扫使用我们的微信小程序

热门题目

已复制到剪贴板