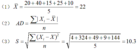
已知一组数据{20、40、15、25、10},求这组数据的平均数、平均差和标准差。(保留2位小数)

作者:高老师 浏览 1

已知一组数据{20、40、15、25、10},求这组数据的平均数、平均差和标准差。(保留2位小数)
【正确答案】:

📱 扫码体验刷题小程序

微信小程序二维码

扫一扫使用我们的微信小程序

热门题目

已复制到剪贴板