甲中学进行新生入学考试,随机抽取90名新生,考试平均分为74,方差为45;对乙中学随机抽取的100名新生进行同样的测试,平均分为71.5,方差为50。问甲中学新生成绩是否高于乙中学的新生成绩?(Z(下标0.05)=1.64,结果保留2位小数) 
【正确答案】:

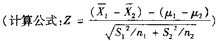
根据题意,采用单侧检验;
甲中学进行新生入学考试,随机抽取90名新生,考试平均分为74,方差为45;对乙中学随机抽取的100名新生进行同样的测试,平均分为71.5,方差为50。问甲中学新生成绩是否高于乙中学的新生成绩?(Z(下标0.05)=1.64,结果保留2位小数) 

📱 扫码体验刷题小程序
扫一扫使用我们的微信小程序