一项研究调查小学生幸福感。有l2名被试参与调查,其中,有8名学生为留守儿童,4名非留守儿童,他们的测验结果如下表:
(“1”代表留守儿童,“0”代表非留守儿童) 请分析:小学生的幸福感水平与其是否为留守儿童有关吗?(结果保留两位小数) 
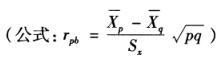
【正确答案】:

一项研究调查小学生幸福感。有l2名被试参与调查,其中,有8名学生为留守儿童,4名非留守儿童,他们的测验结果如下表:
(“1”代表留守儿童,“0”代表非留守儿童) 请分析:小学生的幸福感水平与其是否为留守儿童有关吗?(结果保留两位小数) 

📱 扫码体验刷题小程序
扫一扫使用我们的微信小程序