有16名专家参与“某地区2011年大学生考研率”的德尔菲预测调查,调查的第二轮结果为:40%,40%,45%,45%,45%,5

作者:高老师 浏览 2

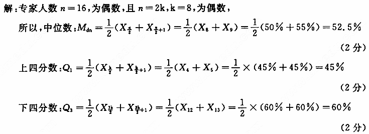
有16名专家参与“某地区2011年大学生考研率”的德尔菲预测调查,调查的第二轮结果为:40%,40%,45%,45%,45%,50%,50%,50%,55%,55%,55%,60%,60%,65%,65%,65%。试求它们的中位数和上下四分位数。
【正确答案】:

📱 扫码体验刷题小程序

微信小程序二维码

扫一扫使用我们的微信小程序

热门题目

已复制到剪贴板