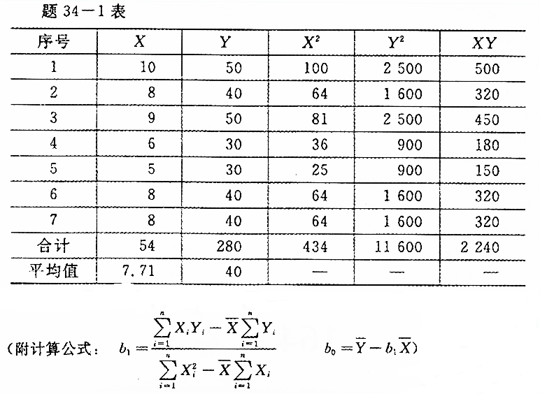
(1)根据题34-1表中的数据,建立因变量Y关于自变量X的一元线性回归方程。(结果保留二位小数)(2)从题34-1表中数据算得自

作者:高老师 浏览 2

(1)根据题34-1表中的数据,建立因变量Y关于自变量X的一元线性回归方程。(结果保留二位小数)


(2)从题34-1表中数据算得自变量X与因变量Y的相关系数为下限r(下标xy)=0.997,取自由度df=n-2,在0.01水平下,问因变量Y与自变量X之间是否存在着显著的一元线性回归关系?


【正确答案】:

📱 扫码体验刷题小程序

微信小程序二维码

扫一扫使用我们的微信小程序

热门题目

已复制到剪贴板