为考察研发费用与企业利润的关系,有人对日本5家大企业进行了调査,得到一组如题33表所示的数据:
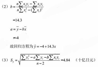
要求: (1)计算研发费用与利润之间的简单相关系数;(3分) (2) 以利润为因变量建立线性回归方程;(5分) (3) 计算估计标准误差。(2分)
【正确答案】:


为考察研发费用与企业利润的关系,有人对日本5家大企业进行了调査,得到一组如题33表所示的数据:
要求: (1)计算研发费用与利润之间的简单相关系数;(3分) (2) 以利润为因变量建立线性回归方程;(5分) (3) 计算估计标准误差。(2分)


📱 扫码体验刷题小程序
扫一扫使用我们的微信小程序