某种药品生产商A、B生产同种类型的药品,生产商A声称其药品(以下称A药品)比生产商B生产的药品(以下称B药品)更有效。从服用过A药品和B药品的病人中分别随机抽取了10人,测得他们某指标下降(表明该药品有效)程度分别为10, 15, 8,13, 18, 20,17, 12, 12, 15 单位和 10, 15, 7, 8, 6, 13, 14, 15, 12, 10 单位。假设服用A药品的病人总体和服用B药品的病人总体该指标下降程度均服从正态分布,且方差相同。 (1) 求服用A药品和B药品的病人该指标的下降程度的样本均值及样本方差.(4分) (2) 为检验生产商A的声明是否真实可信,请给出有关的原假设和备择假设.(2分) (3) 检验生产商A声明的真实性(可靠性取95%)。(4分) 
【正确答案】:
(1)服用A药品、B药品的病人该指标下降程度的样本均值分别为:
该指标的下降程度的样本方差分别为:
(2)
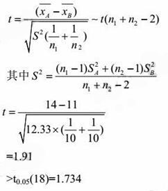
(3)检验统计量为:
故不能拒绝生产商A的声明的真实性。