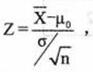
假设X~N(μ,σ2), 且方差σ2已知,检验统计量为:则H0的拒绝域为

作者:高老师 浏览 0

假设X~N(μ,σ2), 且方差σ2已知,检验统计量为:则H0的拒绝域为


A、

B、
C、
D、
【正确答案】:D
【题目解析】:      
也就是Z的绝对值大于等于Z并大于α/2,故选D。

📱 扫码体验刷题小程序

微信小程序二维码

扫一扫使用我们的微信小程序

热门题目

已复制到剪贴板