某市房地产投资公司出售的五个楼盘面积与总售价资料如题33表所示:
要求: (1)计算楼盘总面积与总售价之间的相关系数。(3分) (2)建立总售价对楼盘面积的一元线性回归方程。(5分) (3)估计楼盘面积为20万平方米时的预期总售价。(2分)
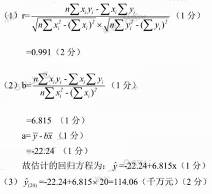
【正确答案】:

某市房地产投资公司出售的五个楼盘面积与总售价资料如题33表所示:
要求: (1)计算楼盘总面积与总售价之间的相关系数。(3分) (2)建立总售价对楼盘面积的一元线性回归方程。(5分) (3)估计楼盘面积为20万平方米时的预期总售价。(2分)

📱 扫码体验刷题小程序
扫一扫使用我们的微信小程序