翰林刷题,免费考试真题网站!
首页
关于我们
首页
›
分类
› 详情
作者:高老师
时间:2024-08-07
浏览 0
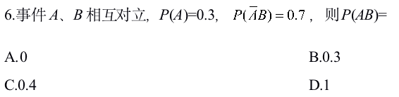
A、A
B、B
C、C
D、D
【正确答案】:A
📱 扫码体验刷题小程序
扫一扫使用我们的微信小程序
热门题目
批量生产
重点集中战略的实施时机包括( )
当期收益率
特许连锁店存在的基础是总部和加盟店之间的___________关系。
矿物质是_____和微量元素两部分的总称。
由于存货的评价方法选用不当,并计算错误,使当期成本失实,与此相关的会计资料是作为()
带息应收票据的贴现利息支出应计入( )。
私の知っている( )、そんなことはありません。
在系统分析中,常用决策表和判断树来( )
设A为3阶方阵,且|-(1/3)()
阅读何其芳的散文《货郎》,结合作品实际,写一篇不少于600字的评论文章。要求:(1)简要阐述作品的主题思想。(2)简要分析作品的
外语学习的后期被称作外语学习的()
➕
➖
📋
⬆️
已复制到剪贴板