翰林刷题,免费考试真题网站!
首页
关于我们
首页
›
分类
› 详情
作者:高老师
时间:2024-08-07
浏览 0
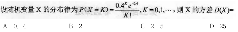
A、A
B、B
C、C
D、D
【正确答案】:A
📱 扫码体验刷题小程序
扫一扫使用我们的微信小程序
热门题目
根据各种岗位的不同性质和特征进行的岗位分类是
禁忌如同礼仪规范一样,体现着____的规律,是应当____的。
结合案例,说明影响定价的主要因素、基本的定价方法及定价策略。
资产负债表中的应收账款项目应根据
某商品经过长期的广告宣传及促销活动,已有了相当的知名度,并有较大市场占有率。请你为此一商品下一步的推广制定广告策略,并简述理由。
事业单位工程项目交付使用后,该项目的长期借款利息应计入的科目是( )。
任何两个并发进程之间
二次型f(x1,x2)=x12+6x1x2+3x22的矩阵是()
关系是PRAM谈判模式的第( )
下列作品为周济所编选的是
简述朱自清早期散文的创作特色。
下列诗人中,属于山水田园诗派的有
➕
➖
📋
⬆️
已复制到剪贴板