检查5位同学《数量方法》课的学习时间与学习成绩间的关系,得到如题33表所示的数据: 
要求: (1) 计算学习时间与学习成绩之间的简单相关系数; (2) 确定学习成绩依赖学习时间的直线回归方程; (3) 计算回归方程的估计标准误差。
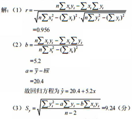
【正确答案】:

检查5位同学《数量方法》课的学习时间与学习成绩间的关系,得到如题33表所示的数据: 
要求: (1) 计算学习时间与学习成绩之间的简单相关系数; (2) 确定学习成绩依赖学习时间的直线回归方程; (3) 计算回归方程的估计标准误差。

📱 扫码体验刷题小程序
扫一扫使用我们的微信小程序