某电子商务企业每年需要购进商品l0000件。已知该商品的单位购进成本为5元,订购成本为4元,储存成本为2元,求经济订购批量,年订

作者:高老师 浏览 0

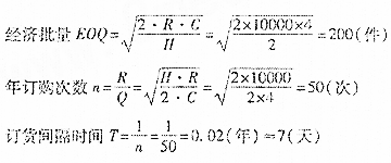
某电子商务企业每年需要购进商品l0000件。已知该商品的单位购进成本为5元,订购成本为4元,储存成本为2元,求经济订购批量,年订购次数和订货间隔时间。(一年以365天计算)
【正确答案】:

📱 扫码体验刷题小程序

微信小程序二维码

扫一扫使用我们的微信小程序

热门题目

已复制到剪贴板